2種元素の添加で中低温のプロトン伝導度を著しく向上
- 既存材料を大きく上回る伝導度と、高い化学的安定性を両立 -
東京科学大学
高エネルギー加速器研究機構
J-PARCセンター
ポイント
✣ 中低温におけるプロトン伝導度の世界最高値を更新する安定な新セラミック材料を発見
✣ 2種類の6価のドナー元素を同時に添加する独自の材料設計により、プロトンの高い濃度かつ高速なプロトン伝導を実現
✣ 低温で作動する高効率燃料電池と電解セルの実用化を加速する基盤技術として期待
概要
東京科学大学(Science Tokyo) 理学院 化学系の八島正知教授、梅田健成大学院生(研究当時修士課程2年次)、齊藤馨助教からなる研究グループは、中低温(200~400℃)で世界最高(2026年1月時点)のプロトン(H+、水素イオン)伝導度(用語1)と高い化学的安定性を併せ持つ新しいセラミック材料BaSc0.8Mo0.1W0.1O2.8(用語2)を発見しました(図1)。
本材料は、193℃で実用化の目安となる 10-2 S cm-1、330℃で 0.10 S cm-1という、従来材料を大きく上回る極めて高いプロトン伝導度「超プロトン伝導(用語3)」を示します(単位ジーメンスSは抵抗オームΩの逆数)。さらに、CO2、O2、H2雰囲気下などの実用環境でも安定に動作することを確認しました。
研究グループは、従来ほとんど試みられなかった「ドナー(用語4)元素を2種類同時に添加する共添加戦略」を、大量の酸素欠損を持つペロブスカイト型酸化物(用語5)BaScO2.5に適用しました。その結果、大量の酸素空孔を完全に水和させることに成功し、高いプロトン濃度と高い拡散係数を両立させることができました。さらに、高エネルギー加速器研究機構(KEK)物質構造科学研究所の本田孝志助教との共同研究による中性子回折実験(用語6)と理論計算から、従来のアクセプター(用語7)を添加した材料で問題となっていたプロトンの捕捉(トラップ)や活性化エネルギーの増大が抑制されていることを解明しました。また、4価よりも価数が高い6価のドーパント(添加剤、不純物)を添加することにより、プロトン濃度を増やし過ぎないことで、活性化エネルギーを低くできたことも解明しました。このため、本材料は中低温でも高速にプロトンが移動でき、極めて高い伝導度を示します。本成果は、低温で高効率に動作する次世代燃料電池(プロトンセラミック燃料電池:PCFC)や水蒸気電解セル(PCEC)の実用化に向けた重要な材料設計指針を提示するものです。
本研究成果は、2026年1月19日(現地時間)に国際学術誌「Angewandte Chemie International Edition」電子版に掲載されました。
図1. 本研究では、BaScO2.5にMo/Wをドナー共添加することで創製したBaSc0.8Mo0.1W0.1O2.8が、193℃において 10-2 S cm-1に達する超プロトン伝導度を示すことを報告する(左図の赤い丸と線)。アクセプター共添加したBZCYYbよりBaSc0.8Mo0.1W0.1O2.8のプロトン伝導度は高い。高いプロトン伝導度は、高いプロトン濃度およびプロトン移動経路(右図赤矢印)の形成による高いプロトン拡散係数に起因する。©著者ら(2026)
背景
炭素循環型社会の実現に向け、水素をエネルギー媒体として活用する「水素エネルギー社会」への期待が高まっています。その中核技術の一つが、水素と電気を高効率に相互変換できるエネルギー変換デバイスです。中でも固体酸化物セルは、燃料電池として水素から電気を取り出すだけでなく、電気分解セルとして電気エネルギーを用いて水素を製造できる可逆作動セルとして注目されています。
特に、200~400℃の中低温で作動するプロトンセラミック燃料電池(PCFC)やプロトンセラミック電解セル(PCEC)は、従来の高温型固体酸化物セルよりも短時間で起動ができ、材料劣化が少ない次世代技術として期待されています。これらのPCFCやPCECの実現には、中低温で高いプロトン伝導度と優れた化学的安定性を両立する材料が不可欠です。しかし、これまでその性能を両立する材料は見出されてきませんでした。例えば、高分子材料や塩類は低温では高いプロトン伝導度を示しますが、中低温では化学的に不安定になります。一方、酸化物セラミックスは高い化学的安定性を持つものの、同じ温度域でのプロトン伝導度は低いという課題がありました。このように、「高伝導度」と「高安定性」を同時に満たす材料が存在しない温度領域は、研究者の間で「ノルビーギャップ(Norby gap)」と呼ばれ、長年にわたり未解決の課題とされてきました。
材料開発に目を向けると、BaZrO3系などのアクセプター元素を添加した材料がプロトン伝導体研究の主流となってきました。しかし、これらの材料では、添加元素であるアクセプターがプロトンを引き寄せてしまう「プロトントラップ」が生じやすく、プロトンの移動が阻害されるという根本的な問題があります(図2a)。特に、複数のアクセプター元素を同時に添加する共添加材料では、このトラップ効果がさらに強まり、中低温での高伝導化に向けた大きな壁となっていました(図2b)。
これに対し近年、八島教授と齋藤助教の研究グループは、酸素欠損を元々含むBaScO2.5に対して、アクセプターではなくドナーを添加する戦略を提案してきました。具体的には、モリブデン(Mo)やタングステン(W)といった高原子価のドナーを添加したBaScO2.5系材料の開発に成功しています[参考文献1、2]。ドナーはプロトンと静電的に反発するため、プロトントラップが起こりにくく、結晶構造の安定化と高いプロトン伝導を同時に実現できます(図2c)。実際に、Mo単独添加やW単独添加材料では、「ノルビーギャップ」領域で顕著なプロトン伝導が報告されています。
しかし、複数のドナー元素を同時に添加する「ドナー共添加」によるプロトン伝導体は、これまで報告されていませんでした(図2d)。本研究は、この未踏領域に挑戦し、MoとWの2種類のドナー元素を同時に添加することで、従来の材料のプロトン伝導度を大きく上回る超プロトン伝導を示す新材料の創出に成功しました。
図2. プロトン伝導体におけるプロトンのエネルギー(Energy)の模式図。アクセプターを添加した材料(a)と(b)ではプロトンがアクセプターに引き寄せられ移動が阻害される。
(a)1種類のアクセプターを添加した材料。(b)2種類のアクセプターを添加した材料。(c)1種類のドナーを添加した材料。(d)2種類のドナーを添加した材料。
(a)~(d)の上部はプロトンの局所エネルギー図を示し、下部はプロトンの巨視的エネルギーを反応座標(Reaction coordinate)に対して示している。黄色の円はプロトンを表す。Emは、会合のない状態でのプロトン移動に対する固有(トラップフリー)エネルギー障壁を表す。Easは、プロトンとアクセプター元素との間の巨視的会合エネルギーである。アクセプター共添加では、構造不規則性の増大により、より大きなトラップエネルギー |εas| を持つ局所的により深いトラップサイトが形成されるため((b)上部のーεas)、単一のアクセプターを添加した場合(a)に比べて | Eas | が大きい((b)下部のーEas)。これに対し、ドナー共添加では、ドナー添加元素周辺の不規則性の増大が、プロトンが移動するScO6八面体ネットワークに及ぼす影響が小さいため、| Eas | は有意に増加しない。©著者ら(2026)
研究成果
本研究では、酸素欠損を有するペロブスカイト型酸化物BaScO2.5に対して、モリブデン(Mo)およびタングステン(W)の2種類の6価のドナー元素を同時に添加する新しい材料設計(ドナー共添加)を適用し、これまでに例のない極めて高いプロトン伝導度を示すセラミック材料群BaSc1−x−yMoxWyO3−δを創製しました。8種類の組成について詳細に調査した結果、BaSc0.8Mo0.1W0.1O2.8が全ての既存のセラミックプロトン伝導体を上回るプロトン伝導度を示すことを明らかにしました。BaSc0.8Mo0.1W0.1O2.8のプロトン伝導度は湿潤雰囲気中において、193℃で実用化の目安となる 0.01 S cm-1、315℃で 0.1 S cm-1に達し、200~400℃の中低温、いわゆる「ノルビーギャップ」において高いプロトン伝導を実現しました。この伝導度は、従来の代表的なプロトン伝導体であるBaCeO3系やBaZrO3系材料の数値を大きく上回り、例えば 220℃におけるBaCe0.9Y0.1O2.95の約190倍、BaZr0.8Y0.2O2.9の約24倍に相当します。また、これまで報告されてきたMo単独添加やW単独添加材料よりも高い伝導度を示し、MoとWを同時に添加することがプロトン伝導度を飛躍的に高めることを実証しました。
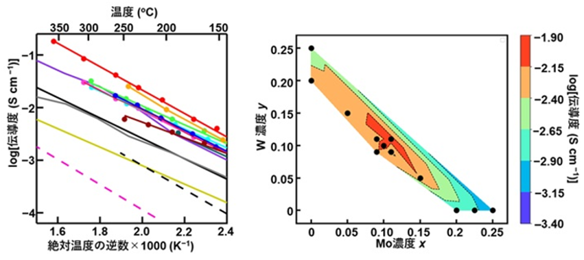
図3. BaSc0.8Mo0.1W0.1O2.8の高い伝導度(左図の赤色の丸と線)は、本研究で調べたBaSc1−x−yMoXWyO3−δの中で最も高い伝導度を示す(右図の黒丸。右図ではBaSc1−x−yMoxWyO3−δのMo濃度xを横軸、W濃度yを縦軸で表した化学組成における伝導度をカラーで示している。赤い部分が最も伝導度が高い)。左図のデータの詳細は次の通り。本研究のデータ:BaSc0.82Mo0.09W0.09O2.77(青色)、BaSc0.8Mo0.1W0.1O2.8(赤色)、BaSc0.78Mo0.11W0.11O2.83(オレンジ色)、BaSc0.75W0.25O2.875(濃い緑色)、BaSc0.8W0.2O2.8(紫色)、BaSc0.8Mo0.05W0.15O2.8(水色)、BaSc0.8Mo0.09W0.11O2.8(ピンク色)、BaSc0.8Mo0.11W0.09O2.8(茶色)、BaSc0.8Mo0.15W0.05O2.8(薄緑色)。文献のデータ(詳細は原著論文を参照):BaSc0.8Mo0.2O2.8(黒色線)、BaSc0.775Mo0.225O2.8375(灰色)、 BaSc0.75Mo0.25O2.875(黄色)、BaCe0.9Y0.1O2.95(ピンク色の破線)、BaZr0.8Y0.2O2.9(黒色の破線)。©著者ら(2026)
本研究ではまた、伝導度の同位体交換実験(H/D 交換)、伝導度の酸素分圧依存性測定、湿潤・乾燥雰囲気下でのインピーダンス測定から、BaSc0.8Mo0.1W0.1O2.8における電気伝導は電子伝導ではなくプロトン伝導であることを確認しました。また、CO2、H2、O2雰囲気中での熱処理後もBaSc0.8Mo0.1W0.1O2.8のペロブスカイト相に変化は見られず、優れた化学的安定性を併せ持つことが示されました。
高いプロトン伝導の起源について詳細に解析した結果、BaSc0.8Mo0.1W0.1O2.8は、
① 大量の酸素空孔(δ = 0.2)を有すること
② 水と反応して完全に水和し、非常に高いプロトン濃度zを実現していること(BaSc0.8Mo0.1W0.1O2.8−z/2(OD)zにおいてz = 0.4)
③ プロトンが三次元的に移動でき、プロトントラップが抑制され、高速拡散経路が形成されていること
といった要因が相乗的に働いていることが分かりました。
中性子回折データを用いた結晶構造解析および第一原理分子動力学計算(用語8)から、プロトンは MoO6やWO6八面体を避け、ScO6八面体のネットワークに沿って移動することが明らかとなりました(図4)。Scの占有率が高いことで、このネットワークが連結し、高いプロトン拡散係数を生み出しています。さらに、ドナー共添加では、従来のアクセプター共添加で問題となっていた活性化エネルギーの増大(プロトントラップ)が生じず、低い活性化エネルギーを維持できることも示されました。
図4.(a)BaSc0.8Mo0.1W0.1O2.8の中性子回折データのリートベルト解析(用語9)図形、(b)精密化した結晶構造。(c)結合原子価法(用語10)で調べたプロトンのエネルギー図において青いエネルギー等値面が3次元に連結しており、3次元のプロトン拡散経路が分かる。(d)第一原理分子動力学計算で得たプロトンの分布図。プロトンがMoとWにトラップされず、Scに近接した酸素原子の間をホッピングして移動することが分かる。©著者ら(2026)
また、プロトンの拡散係数を、プロトン伝導度とプロトン濃度から計算しました(図5a)。その結果、ドナーの価数が高いほど拡散係数が低温側で高い傾向を示すことが分かりました(図5a)。その原因はドナーの価数が高いほど活性化エネルギーが低くなる傾向(図5b)にあると考えられます。ドナーの価数が増大すると、酸素空孔量が減少し、プロトン濃度が低くなる傾向があります。プロトン濃度が高くなるにつれて拡散係数が高くなるため(図5c)、ドナーの価数の増加とともに拡散係数の活性化エネルギーが低下するので、低温で拡散係数が高くなり、プロトン伝導度が高くなると考えられます。そのため本研究で用いた6価のドナーを添加した材料は、4価のドナーを添加した材料より伝導度が高いと考えられます。
図5.(a)種々のドナーを添加した拡散係数の温度(Temperature, Tは絶対温度の逆数)依存性。(b)ドーパントの酸化数(Oxidation number, 価数)nに対する拡散係数の活性化エネルギーEaのプロット。(c)プロトン濃度z (Proton concentration)に対する拡散係数の活性化エネルギーEaのプロット。赤い線と丸はn = 6、青い線と丸はn = 5、黄緑色の線と丸はn = 4。
これらの結果から、2種類の6価のドナーを共添加するという新しい材料設計戦略が、中低温で高いプロトン伝導と化学的安定性を両立させる極めて有効な方法であることが実証されました。本成果は、次世代のPCFCとPCECの高性能化・低温作動化に向けた重要な基盤技術となることが期待されます。
社会的インパクト
本研究で発見されたプロトン伝導体は、中低温における高いプロトン伝導度と化学的安定性を持つため、燃料電池や水蒸気電解セルの低温・高効率動作を可能にし、水素エネルギー利用の大きな障壁を取り除くと期待されます。中低温で作動することで、装置の耐久性向上や起動時間短縮、コスト低減が期待されます。これにより、水素製造・貯蔵・利用を一体化した分散型エネルギーシステムの実現が現実味を帯びてきます。また、CO2に対して高い安定性を示すことから、実環境下での長期運用にも適しています。
今後の展開
今後は、本材料を電解質として用いたPCFCおよびPCECの試作・性能評価を進めるとともに、電極材料との界面設計や薄膜化技術を最適化することで、さらなる低温化と高出力化を目指します。また、ドナー共添加という設計指針を他の酸化物材料へ展開し、新規高性能プロトン伝導体の創出を図ります。長期耐久試験やスケールアップ研究を通じて実用環境での信頼性検証を進め、将来的には、水素社会を支える中核材料として産業界との連携による社会実装・展開も期待されます。
付記
本研究の一部は、JSPS科学研究費助成事業 基盤研究(S)(JP24H00041)、JSPS科学研究費助成事業挑戦的研究(開拓)(JP21K18182、JP25K21695)、ブレークスルーエネルギー財団、ASPIRE先端国際共同研究推進事業(JPMJAP2308)、JST研究成果展開事業研究成果最適展開支援プログラム A-STEP 産学共同(JPMJTR22TC)、大倉和親記念財団、フソウ技術開発振興基金、前川報恩会、徳山科学技術振興財団、泉科学技術振興財団等の助成を受けて行われました。中性子回折実験は大強度陽子加速器施設 物質・生命科学実験施設BL21NOVA(課題番号:2020L0804、2020L0802、2020L0801、2024A0718、2024B0199)により実施しました。
参考文献
1. Saito, K., & Yashima, M. (2023). High proton conductivity within the 'Norby gap' by stabilizing a perovskite with disordered intrinsic oxygen vacancies. Nature Communications, 14, 7466.
2. Saito, K., Umeda, K., Fujii, K., Mori, K., & Yashima, M. (2024). High proton conduction by full hydration in highly oxygen deficient perovskite. Journal of Materials Chemistry A, 12(22), 13310-13319.
用語説明
(1)プロトン(H+、水素イオン)伝導度
プロトンが伝導することによる電気伝導度。
(2)BaSc0.8Mo0.1W0.1O2.8
バリウム、スカンジウム、モリブデン、タングステンおよび酸素から構成される酸化物。本質的な酸素空孔を持つ母物質BaScO2.5において、Scの一部をMoとWで置換した酸化物である。
(3)超プロトン伝導
プロトン伝導度が極めて高い伝導度を示す現象。一般的に10-3 ~10-2 S cm-1以上のプロトン伝導度を示す現象に対して用いる。
(4)ドナー
あるホスト化合物に含まれる陽イオンよりも、価数の高い陽イオン。
(5)ペロブスカイト型酸化物
鉱物ペロブスカイトCaTiO3と同じあるいは類似した結晶構造を持ち、一般式AB O3で表される化合物をAB O3ペロブスカイト型酸化物と総称する(AはBa2+やLa3+などの比較的大きな陽イオン、Bは遷移金属イオンなどの比較的小さな陽イオン)。
(6)中性子回折実験
数~数十Åの周期で原子が規則的に配列する結晶は、X線や中性子によって回折現象を起こす。得られる回折データは結晶構造の情報を含んでおり、解析することで結晶内の原子配列などを明らかにすることができる。X線は電子により散乱されるので、重元素のコントラストが高い。一方、中性子では重元素と酸素などの軽元素の両方を含む物質における軽元素のコントラストが相対的に高いことが多いので、軽元素の原子の原子座標、占有率と原子変位パラメータを正確に決めることができる。原子変位パラメータにより異方性熱振動を調べることができる。本研究の中性子回折実験は、J-PARC(大強度陽子加速器施設)内の物質・生命科学実験施設(MLF)NOVAにて行われた。
(7)アクセプター
あるホスト化合物に含まれる陽イオンよりも価数の低い陽イオン。アクセプターを添加すると、電気的中性条件を満たすために酸素空孔を生成する。1981年に岩原弘育博士がアクセプターを添加したペロブスカイト酸化物でプロトン伝導を発見した。
(8)第一原理分子動力学計算
実験データなどの経験パラメータを用いずに、計算対象となる原子の種類と数と初期配置を用いて、量子力学に基づいて電子状態を計算することで、原子間に働く力を見積もり、物質における原子の運動や物質の性質を調べる計算。
(9)リートベルト解析
粉末回折データを用いて、結晶学パラメータ(格子定数、原子座標、占有率、原子変位パラメータ等)を求める解析。
(10)結合原子価法
物質中の原子間距離と経験的なパラメータを使い、対象イオンの価数(酸化数)、構造の安定性やプロトンなどのイオンのエネルギーを計算する方法。イオンが単位格子を横切って移動するときのエネルギー障壁も見積もることができる。単純な式で計算するため、数多くの化合物や組成に対するエネルギー障壁を計算し、新型イオン伝導体の候補をスクリーニングすることにも利用できる。
論文情報
| 掲載誌 | Angewandte Chemie International Edition |
|---|---|
| 論文タイトル | Superprotonic Conduction in Donor Co-Doped Perovskites(ドナーを共添加したペロブスカイトにおける超プロトン伝導) |
| 著者 | Kensei Umeda+(梅田健成)、Kei Saito+(齊藤馨)、Takashi Honda(本田孝志)、Masatomo Yashima* (八島正知) + 両著者の本研究への貢献は同等である。*責任著者。 |
| DOI | https://doi.org/10.1002/anie.202521773 |
研究者プロフィール
八島 正知(ヤシマ マサトモ) Masatomo Yashima
東京科学大学 理学院 化学系 教授
研究分野:材料科学、無機・分析化学、構造解析、新規イオン伝導体の探索と構造物性
梅田健成(ウメダ ケンセイ) Kensei Umeda
東京科学大学 理学院 化学系 修士課程大学院生(研究当時)
研究分野:無機・分析化学、新規プロトン伝導体の探索と構造物性
齊藤 馨(サイトウ ケイ) Kei Saito
東京科学大学 理学院 化学系 助教
研究分野:物質科学、無機・分析化学、新規プロトン伝導体の探索と構造物性
本田 孝志(ホンダ タカシ) Takashi Honda
高エネルギー加速器研究機構 物質構造科学研究所 助教
研究分野:量子ビーム科学、強相関電子系、原子構造、イオン伝導
